90%TC, 25SC, 50SC, 100SC, 480SC, 10%WDG, 20%WDG
168316-95-8(A);131929-60-7(D)
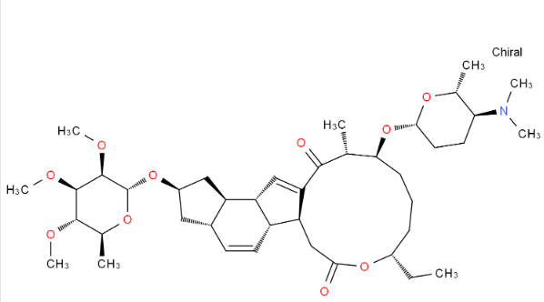
多杀霉素
常用名:多杀霉素
CAS号:168316-95-8(A);131929-60-7(D)
规格: 90%TC, 25SC, 50SC, 100SC, 480SC, 10%WDG, 20%WDG
分子式: C41H65NO10(A); C42H67NO10(D)
结构式:
作用方式:
多杀霉素是烟碱乙酰胆碱受体激活剂,具有触杀和胃毒作用,能引起害虫麻痹和死亡。
用途:
多杀霉素能对害虫具有快速接触和胃毒作用,对叶子有很强的渗透作用,能杀死皮下害虫,对某些害虫有一定的杀卵作用。这种吸持作用可以有效地控制鳞翅目、双翅目和缨翅目害虫,还能很好地预防鞘翅目和鳞翅目一些以叶片为食的大量害虫种类,对吸持性害虫和螨类的预防效果较差。对昆虫天敌更安全,因为杀虫作用机理独特。适合蔬菜、水果、园艺、农作物使用。杀虫效果受降雨影响较小。
多杀霉素
常用名:多杀霉素
CAS号:168316-95-8(A);131929-60-7(D)
规格: 90%TC, 25SC, 50SC, 100SC, 480SC, 10%WDG, 20%WDG
分子式: C41H65NO10(A); C42H67NO10(D)
结构式:
作用方式:
多杀霉素是烟碱乙酰胆碱受体激活剂,具有触杀和胃毒作用,能引起害虫麻痹和死亡。
用途:
多杀霉素能对害虫具有快速接触和胃毒作用,对叶子有很强的渗透作用,能杀死皮下害虫,对某些害虫有一定的杀卵作用。这种吸持作用可以有效地控制鳞翅目、双翅目和缨翅目害虫,还能很好地预防鞘翅目和鳞翅目一些以叶片为食的大量害虫种类,对吸持性害虫和螨类的预防效果较差。对昆虫天敌更安全,因为杀虫作用机理独特。适合蔬菜、水果、园艺、农作物使用。杀虫效果受降雨影响较小。
