50%TC,50EC,15EW
8003-34-7
除虫菊酯
常用名:除虫菊酯
CAS号:8003-34-7
规格: 50%TC,50EC,15EW
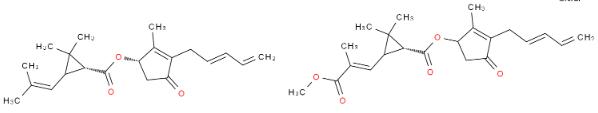
分子式: C43H56O8
结构式:
作用方式:
具有较高的胃毒作用,对咀嚼类口腔器官害虫有特效;具有很强的触杀效果。昆虫接触除虫菊酯后,会神经麻痹,中毒而死。主要用于防治刺口器官害虫;能够快速击倒害虫。
用途:
描述:本产品是一种广谱杀虫剂,可控制各种害虫。
害虫控制示例:卫生害虫,如蚊子,苍蝇,蟑螂,蚂蚁,床虫和跳蚤。
应用示例:室内环境,如家庭,学校,医院,酒店,超市,餐馆,办公室,食品厂和农场。
除虫菊酯
常用名:除虫菊酯
CAS号:8003-34-7
规格: 50%TC,50EC,15EW
分子式: C43H56O8
结构式:
作用方式:
具有较高的胃毒作用,对咀嚼类口腔器官害虫有特效;具有很强的触杀效果。昆虫接触除虫菊酯后,会神经麻痹,中毒而死。主要用于防治刺口器官害虫;能够快速击倒害虫。
用途:
描述:本产品是一种广谱杀虫剂,可控制各种害虫。
害虫控制示例:卫生害虫,如蚊子,苍蝇,蟑螂,蚂蚁,床虫和跳蚤。
应用示例:室内环境,如家庭,学校,医院,酒店,超市,餐馆,办公室,食品厂和农场。
