95%TC,30EC,20%SP,200SL,20%WDG,70%WDG,70%WP
135410-20-7
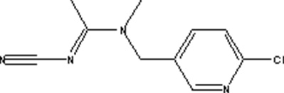
啶虫脒
常用名: 啶虫脒
CAS号: 135410-20-7
规格: 95%TC,30EC,20%SP,200SL,20%WDG,70%WDG,70%WP
分子式: C10H11ClN4
结构式:
作用方式:
作用于昆虫神经系统突触部位的烟碱乙酰胆碱受体,干扰昆虫神经系统的刺激传导,引起神经系统通路的阻塞,导致神经递质乙酰胆碱在突触部位积聚,导致昆虫瘫痪,最终死亡。
用途:
害虫控制示例:蚜虫;蓟马;米里德斯;蜘蛛螨;粉虱;欧洲松叶蜂;潜叶虫;叶蝉;藤蔓象甲;蚂蚁。
应用示例:绿叶蔬菜;结果蔬菜;果实包括柑橘,苹果,梨,葡萄;棉花;观赏植物和鲜花。
啶虫脒
常用名: 啶虫脒
CAS号: 135410-20-7
规格: 95%TC,30EC,20%SP,200SL,20%WDG,70%WDG,70%WP
分子式: C10H11ClN4
结构式:
作用方式:
作用于昆虫神经系统突触部位的烟碱乙酰胆碱受体,干扰昆虫神经系统的刺激传导,引起神经系统通路的阻塞,导致神经递质乙酰胆碱在突触部位积聚,导致昆虫瘫痪,最终死亡。
用途:
害虫控制示例:蚜虫;蓟马;米里德斯;蜘蛛螨;粉虱;欧洲松叶蜂;潜叶虫;叶蝉;藤蔓象甲;蚂蚁。
应用示例:绿叶蔬菜;结果蔬菜;果实包括柑橘,苹果,梨,葡萄;棉花;观赏植物和鲜花。
