95%TC,3EC,5EC
70288-86-7
伊维菌素
常用名:伊维菌素
CAS号:70288-86-7
规格: 95%TC,3EC,5EC
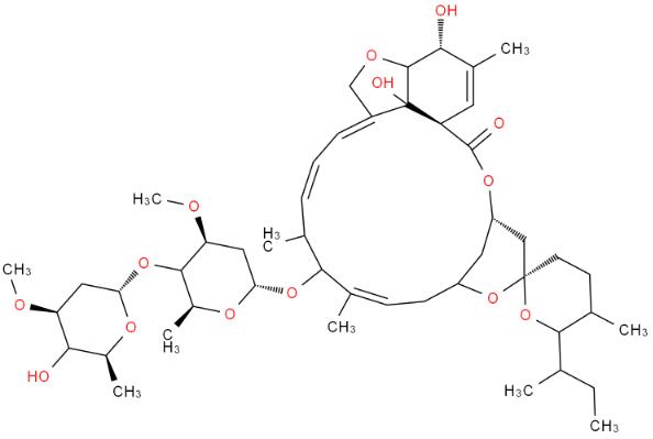
分子式: C48H74O14
结构式:
作用方式:
联系和胃动作。它主要干扰害虫的神经生理活动,并阻止运动神经信息的传播,导致昆虫的死亡。
用途:
描述:该产品是一种抗生素杀虫剂,一种十六元的大环内酯化合物,具有杀虫,杀螨剂和杀线虫活性的作用。
害虫控制示例:红色蜘蛛,果蝇,钻石蛾,蓟马,白蚁。
应用示例:草莓,杨梅,白菜,芒果,木头。
伊维菌素
常用名:伊维菌素
CAS号:70288-86-7
规格: 95%TC,3EC,5EC
分子式: C48H74O14
结构式:
作用方式:
联系和胃动作。它主要干扰害虫的神经生理活动,并阻止运动神经信息的传播,导致昆虫的死亡。
用途:
描述:该产品是一种抗生素杀虫剂,一种十六元的大环内酯化合物,具有杀虫,杀螨剂和杀线虫活性的作用。
害虫控制示例:红色蜘蛛,果蝇,钻石蛾,蓟马,白蚁。
应用示例:草莓,杨梅,白菜,芒果,木头。
